Cách tính điểm thi tốt nghiệp THPT được rất nhiều bậc phụ huynh và thí sinh quan tâm khi kỳ thi Quốc gia đang bước vào giai đoạn nước rút. Dưới đây, ban tư vấn tuyển sinh Cao đẳng Y Khoa Phạm Ngọc Thạch sẽ tổng hợp kiến thức về công thức tính điểm năm 2024 để bạn đọc cùng theo dõi nhé.
1. Cách tính điểm thi tốt nghiệp THPT 2024 chuẩn xác
Cách tính điểm thi tốt nghiệp THPT là việc rất quan trọng, giúp các bạn thí sinh biết được tổng điểm thi là bao nhiêu sau các bước thực hiện tính toán theo công thức mà Bộ GD&ĐT quy định. Với kết quả tính được, bạn sẽ biết trước cơ hội đỗ tốt nghiệp THPT và dự đoán được tỷ lệ đỗ Đại học của mình cao hay thấp.

Theo đó, cách tính điểm đậu tốt nghiệp THPT năm 2024 không khác nhiều so với năm 2024. Do vậy, các bạn có thể vạch ra được kế hoạch ôn tập tốt nhất đảm bảo kết quả học tập đạt mục tiêu mong đợi.
1.1. Công thức tính điểm thi tốt nghiệp hệ THPT 2024
Cách tính điểm tốt nghiệp THPT 2024 bằng Tổng điểm 4 bài thi xét tuyển cộng với tổng điểm khuyến khích (nếu có) rồi chia cho 4 nhân với 7. Tiếp theo bạn hãy cộng điểm trung bình cả năm học lớp 12 nhân với 3 rồi tất cả chia cho 10 được 1 số, ta cộng với điểm ưu tiên (nếu có).

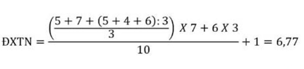
Ví dụ công thức tính điểm tốt nghiệp 2024 hệ THPT như sau:
Sĩ tử A đăng ký thi tổ hợp môn Khoa Học Xã Hội đạt kết quả sau đây: Toán: 8.6; Văn: 7.75; Anh: 6.4; Sử: 9; Địa: 8.5; Giáo dục công dân: 9. Ta có, điểm trung bình cả năm là 8, không được cộng điểm khuyến khích và điểm ưu tiên thì sĩ tử A sẽ có điểm trung bình thi tốt nghiệp năm 2024 như sau:

➤ Xem thêm về:
- Cách tra cứu Điểm thi tốt nghiệp THPT Quốc Gia chính xác
- Hướng dẫn các bước đăng ký thi tốt nghiệp THPT trực tuyến
1.2. Công thức tính điểm thi tốt nghiệp 2024 theo hệ GDTX
Với hệ GDTX thì áp dụng tính điểm trung bình tốt nghiệp bằng điểm 3 bài thi để chia cho 3, sau đó cộng với điểm khuyến khích để chia cho 4, nhân với 7 cộng với điểm trung bình cả năm lớp 12 nhân 3. Được 1 số thì chia cho 10, và cộng với điểm ưu tiên cuối cùng.

Ví dụ tính điểm thi tốt nghiệp 2024 theo hệ GDTX:
Sĩ tử B đăng ký thi tổ hợp Khoa Học Tự Nhiên và đạt kết quả các môn thi bên dưới như sau: Toán 5, Văn 5, Sinh 5, Lý 6, Hóa 4. Ta có, điểm trung bình cả năm lớp 12 là 6, B được 1 điểm ưu tiên, không có điểm khuyến khích ta có điểm của thí sinh B tính như sau:

Theo đó, cách tính điểm tốt nghiệp 2024 cũng không quá phức tạp và tốn nhiều thời gian với các sĩ tử. Tuy nhiên, các bạn có thể áp dụng tính điểm tốt nghiệp 2024 online nhanh chóng và đơn giản hơn nhiều.
➤ Bạn có thể xem Kế hoạch Ôn thi THPT Quốc gia các môn với lộ trình chi tiết
2. Cách tính điểm tốt nghiệp trung học phổ thông 2024 Online
Ngoài công thức tính điểm thi tốt nghiệp 2024 ở trên thì các bạn sĩ tử có thể áp dụng tính điểm thi tốt nghiệp 2024 online nhanh chóng lại có tính chuẩn xác cao.
- Bước 1: Trước tiên, phụ huynh và các bạn thí sinh hãy truy cập đường link: https://thptquocgia.edu.vn/tinhdiem/
- Bước 2: Các bạn hãy lựa chọn đối tượng xét tuyển, trong đó có 2 đối tượng chính là chọn người học chương trình THPT hay người học chương trình giáo dục thường xuyên.
- Bước 3: Các bạn hãy nhập lần lượt điểm của từng môn Toán, Văn, Ngoại Ngữ và điểm của từng tổ hợp môn gồm 2 tổ hợp, 3 tổ hợp, điểm trung bình cả năm lớp 12, điểm khuyến khích, điểm ưu tiên (trường không có hãy nhập “0” hoặc để trống).
- Bước 4: Nhấn “Tính” sau đó hãy chờ vài giây, hệ thống sẽ trả điểm trung bình tốt nghiệp năm 2024 cùng thông báo bạn có đỗ tốt nghiệp hay không.

Với công thức tính điểm tốt nghiệp THPT ở trên rất dễ áp dụng, dưới đây là những điều cần lưu ý cần ghi nhớ:
- Điểm tổ hợp 1,2 và 3 gồm điểm các môn thi thành phần những bài thi tổ hợp đã đăng ký dự thi để xét tốt nghiệp.
- Các bạn thí sinh vùng sâu vùng xa, hải đảo, hay biên giới có hoàn cảnh khó khăn thì sẽ được cộng điểm ưu tiên. Bộ Giáo dục quy định chi tiết và rành mạch về mỗi đối tượng và vùng miền cụ thể.
- Thí sinh xuất sắc đạt giải cao trong cuộc thi tầm cỡ khu vực, quốc gia, quốc tế rồi cộng thêm điểm khuyến khích.
➤ Nếu cảm thấy mình hồi hộp, stress thì bạn có thể tìm hiểu về Cách làm giảm áp lực trước khi thi mà các sĩ tử nên biết
3. Bao nhiêu điểm là đỗ tốt nghiệp THPT 2024?
Điểm tốt nghiệp cần để đỗ tốt nghiệp phải đạt từ 5.0 điểm trở lên và không có môn thi xét tuyển nào bị điểm liệt (từ 1 điểm trở xuống theo thang điểm 10).
Ngoài ra, thí sinh phải đáp ứng yêu cầu, đã đủ điều kiện tham gia dự kỳ thi, không bị kỷ luật hay bị hủy kết quả bài thi.
Quy tắc làm tròn điểm xét tốt nghiệp: Điểm tốt nghiệp THPT năm 2024 được làm tròn đến 2 chữ số thập phân.
Cụ thể: Thí sinh C có số điểm là 4,998 được làm tròn lên 5 điểm và được tính là đỗ tốt nghiệp.
Dưới đây là một số quy chế thí sinh làm tròn điểm thi như sau:
- Với môn ngữ văn (môn tự luận): Tất cả bài thi chấm dựa trên thang điểm 10; điểm lẻ trong tổng điểm toàn bài thi làm tròn đến 2 chữ số thập phân.
- Những môn thi còn lại (môn trắc nghiệm): Được làm tròn đến 2 chữ số thập phân đối với mỗi bài thi, môn thi thành phần đối với các bài thi tổ hợp.
Ví dụ: Điểm thi tốt nghiệp THPT là 5,062 sẽ làm tròn thành 5,06 điểm; còn điểm thi là 5,068 thì được làm tròn thành 5,07 điểm.
Bài viết trên đây tổng hợp cách tính điểm thi tốt nghiệp THPT năm 2024 giúp các bạn có sự chuẩn bị tốt nhất cho kỳ thi sắp tới. Ban tư vấn tuyển sinh Cao đẳng Y Khoa Phạm Ngọc Thạch sẽ tiếp tục cập nhật kiến thức trong kỳ thi này, các bạn đừng bỏ lỡ nhé.

Ngành Tổ chức và Quản lý Y tế là gì? Ra trường làm gì?
Q. Tân Bình: Số
Điện thoại: 0899 955 990 (Cô Nhung) | 0969 955 990 (Cô Huệ) | 0933519898 (Cô Yến) | 0961539898
Email: 