Chắc hẳn nhiều bạn vẫn chưa biết định luật Ôm là gì? Những kiến thức về lý thuyết sau đây sẽ giúp bạn nắm được định nghĩa, công thức để áp dụng trong việc giải bài tập nhé. Hãy cùng trường Cao đẳng Y Khoa Phạm Ngọc Thạch tìm hiểu thông tin trong bài viết sau đây.
1. Định luật ôm là gì?
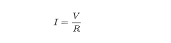
Định luật Ôm là định luật vật lý về sự phụ thuộc vào cường độ dòng điện của điện trở và hiệu điện thế. Với nội dung này cho biết, cường độ dòng điện đi qua 2 điểm một vật dẫn điện sẽ luôn tỷ lệ thuận với hiệu điện thế đi qua 2 điểm đó. Với vật dẫn điện có điện trở là một hằng số, suy ra phương trình toán học về định luật ôm được mô tả như sau:

Trong đó:
- I là cường độ dòng điện đi qua vật dẫn (đơn vị: ampere).
- V (V còn được ký hiệu là U) là điện áp trên vật dẫn (đơn vị volt),
- R là điện trở (đơn vị: ohm).
Trong định luật Ohm, điện trở R là một hằng số và không phụ thuộc vào cường độ dòng điện.
Bạn có thể chưa biết Công Thức Tính Vận Tốc Trung Bình và Bài Tập áp dụng thực tế
2. Tại sao lại gọi là định luật ôm?
Định luật Ôm được đặt theo tên của nhà vật lý học người Đức, Georg Ohm, được phát hành trên một bài báo năm 1827. Nội dung định luật Ohm là mô tả các phép đo điện áp với cường độ dòng điện qua một mạch điện đơn giản gồm nhiều dây có độ dài khác nhau.
So với trên thì nhà vật lý học Georg Ohm đã trình bày một phương trình phức tạp hơn nhằm giải thích kết quả thực nghiệm của mình. Phương trình ở trên là dạng hiện đại của định luật Ohm.
3. Định nghĩa và công thức
3.1. Định nghĩa định luật Ôm
Phát biểu định luật Ohm là một định luật vật lý thể hiện sự phụ thuộc vào cường độ dòng điện của điện trở và hiệu điện thế. Nội dung của định luật này cho biết, cường độ dòng điện đi qua 2 điểm trên một vật dẫn điện sẽ luôn tỷ lệ thuận với hiệu điện thế đi qua 2 điểm đó. Với vật dẫn điện có điện trở là một hằng số thì ta có phương trình toán học mô tả mối quan hệ dưới đây:

- Với I là cường độ dòng điện đi qua vật dẫn
- R là điện trở
- U là điện áp trên vật dẫn
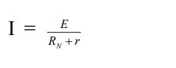
3.2. Công thức của định luật ôm toàn mạch
Thí nghiệm
Cho kết quả của một thí nghiệm như sau:

Định luật Ôm cho toàn mạch
Từ kết quả trên ta thấy: U(N) = U0 – a.I = E – a.I
Với U(N) = UAB = I. R(N) được gọi là độ giảm thế mạch ngoài.
Ta thấy: a = r là điện trở trong của nguồn điện.
Do đó: E = I x [R(N) + r] = I. R(N) + I.r (*)
Vậy: Suất điện động có giá trị bằng tổng các độ giảm điện thế ở mạch ngoài và mạch trong.
Từ hệ thức (*) ta có:
U(N) = I. R(N) = E – It

Kết luận: Cường độ dòng điện chạy trong mạch điện kín sẽ tỉ lệ nghịch với điện trở toàn phần của mạch đó và tỷ lệ thuận với suất điện động của nguồn điện.
3.3. Hiện tượng đoản mạch
Cường độ dòng điện trong mạch kín sẽ đạt giá trị lớn nhất khi R(N)= 0.
Khi đó, ta nói rằng nguồn điện bị đoản mạch và I = E/r
3.4. Định luật Ôm với toàn mạch và định luật bảo toàn, chuyển hóa năng lượng
Công của nguồn điện sản sinh ra trong thời gian t: A = E.I.t (**)
Nhiệt lượng toả ra trên toàn mạch: Q = (RN + r) x I^2 x t (***)
Theo định luật bảo toàn năng lượng thì A = Q, do đó từ (**) và (***) ta suy ra:

Theo đó, định luật Ôm đối với toàn mạch sẽ phù hợp với định luật bảo toàn và chuyển hoá năng lượng.
Hiệu suất nguồn điện
4. Ứng dụng của định luật ôm
Hiện nay, định luật Ohm được dùng để xác nhận những giá trị tĩnh của các linh kiện trong mạch, nguồn cung cấp điện áp, cường độ dòng điện, và giảm điện áp. Chẳng hạn, với một dụng cụ thử nghiệm giúp phát hiện phép đo dòng điện cao hơn bình thường, thì điều đó tương đương là điện áp tăng và điện trở giảm gây ra tính trạng điện áp cao. Điều này cho thấy trong mạch sẽ có vấn đề.
Trong các mạch điện một chiều (dc), khi đo dòng điện thấp hơn bình thường xảy ra trường hợp điện trở mạch tăng và điện áp đã giảm. Nguyên nhân gây ra tình trạng tăng điện trở là do lỏng lẻo, kết nối kém, ăn mòn hoặc các thành phần bị hư hỏng.
Tải trong một mạch vẽ trên dòng điện, có thể là bất kỳ loại thành phần nào bao gồm: Máy tính, thiết bị điện nhỏ, thiết bị gia dụng hay động cơ lớn. Đa số những thành phần này có một bảng tên hay nhãn dán thông tin đi kèm, cung cấp chứng nhận an toàn và nhiều số tham chiếu.
Các kỹ thuật viên sẽ phải tham khảo bảng tên trên các thành phần để tìm hiểu về giá trị dòng điện và điện áp tiêu chuẩn. Trong thời kiểm tra, nếu như đồng hồ vạn năng hay ampe kìm của họ không đo giá trị nào đó, thì bạn có thể dùng Định luật Ohm để tính toán đồng thời xác định vấn đề nằm ở đâu.
Bài viết trên đây nhằm giúp bạn tìm hiểu về định luật Ôm là gì? Công thức và ứng dụng định luật Ôm hiện nay. Đừng quên tham khảo những bài viết tiếp theo để cập nhật kiến thức hữu ích khác nhé. Chúc bạn thành công!


Ngành Tổ chức và Quản lý Y tế là gì? Ra trường làm gì?
Q. Tân Bình: Số
Điện thoại: 0899 955 990 (Cô Nhung) | 0969 955 990 (Cô Huệ) | 0933519898 (Cô Yến) | 0961539898
Email: 