Điểm trung bình tích lũy là gì? Điểm số này quan trọng như thế nào khi quyết định đến tấm bằng của bạn sau khi ra trường. Bài viết dưới đây Cao đẳng Y Khoa Phạm Ngọc Thạch sẽ giúp bạn tìm hiểu về cách tính điểm này như thế nào? Đừng bỏ lỡ thông tin hữu ích này nhé.
1. Khái niệm điểm trung bình tích lũy là gì?
Điểm trung bình tích lũy (GPA – Grade Point Average) là điểm để đánh giá thành tích học tập của sinh viên trong suốt thời gian học tập tại Trường.
Nó được tính theo thang điểm 4, dựa trên hệ thống điểm của từng học phần, đồng thời kết hợp với số tín chỉ của từng học phần.
Cách xếp loại theo điểm trung bình tích lũy thang 4 dưới đây:
- Dưới 2.0 thì bạn sẽ đánh giá là xếp loại yếu.
- Từ 2.0 đến dưới 2.5 bạn sẽ được đánh là trung bình
- Từ 2.5 đến dưới 3.2 bạn sẽ được đánh giá là loại khá
- Từ 3.2 trở lên bạn sẽ được đánh giá là giỏi và trên 3.6 bạn sẽ được đánh giá là xuất sắc.
Cách xếp loại ở trên sẽ được thể hiện trong tấm bằng tốt nghiệp (Bachelor Degree) của bạn. Do vậy, mỗi sinh viên qua đó hãy thể hiện biện pháp với cách tính giúp cải thiện điểm trung bình tích lũy của mình. Nếu như điểm trung bình tích lũy của bạn càng cao thì bạn càng có lợi thế sở hữu tấm bằng như mong muốn, giúp bạn có nhiều cơ hội việc làm tốt hơn và có nhiều sự lựa chọn việc làm trong tương lai của bản thân.

2. Hướng dẫn cách tính điểm trung bình chung tích lũy
Công thức tính điểm tích lũy trung bình:
Điểm trung bình tích lũy (GPA) = (Tổng số điểm tích lũy) / (Tổng số tín chỉ tích lũy)
Trong đó:
- Tổng số điểm tích lũy: là tổng số điểm của từng môn học nhân với số tín chỉ của môn học đó.
- Tổng số tín chỉ tích lũy: là tổng tất cả số tín chỉ của các môn học đã học.
Đa số các trường Đại học, Cao đẳng sẽ có cách tính điểm trung bình tích lũy cả năm hoặc mỗi học kỳ cho sinh viên. Với các bạn học sinh thì không xa lạ với điểm trung bình tích lũy các môn học và thường được tính theo thang điểm 10.
Nhưng với sinh viên thì điểm trung bình tích lũy được tính theo thang điểm 4.
Dưới đây là cách quy đổi từ thang điểm 10 sang thành thang điểm 4 như sau:
- Sinh viên đạt điểm từ 8.5 trở lên được quy đổi ra thang điểm 4 là 4 điểm
- Nếu đạt điểm trung bình môn từ 7.0 đến 8.4 điểm thì bạn sẽ quy đổi sang thang điểm 4 là 3 điểm.
- Điểm trung bình từ 5.5 đến 6.9 thì khi quy đổi sang thang điểm 4 sẽ là 2 điểm.
- Nếu đạt được điểm trung bình từ 4.0 đến 5.5 thì khi quy đổi sang thang điểm 4 là 1 điểm.
- Nếu bạn dưới 4.0 thì tính theo thang điểm 4 sẽ là 0.
Cách quy đổi điểm trung bình tích lũy ở trên được áp dụng tại rất nhiều trường. Tuy nhiên với thực tế khác nhau thì nhiều trường có thể chia nhỏ hơn thành các thang điểm phù hợp từ 0 điểm, 1 điểm, 1.5 điểm, 2 điểm, 2.5 điểm, 3 điểm, 3.5 điểm và 4 điểm.
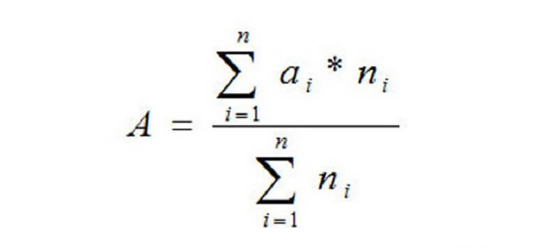
Dưới đây là công thức cách tính điểm trung bình tích lũy hệ 4 bao gồm:

Với công thức trên thì bạn phần nào hiểu được ý nghĩa của nó, cần phải làm rõ những thành tố trong công thứ này:
+ A – điểm trung bình tích lũy của bạn, được tính theo kỳ, theo năm hoặc theo cả 4 năm đều được tính theo công thức nay.
+ ai – Điểm số của những học phần thứ i của bạn trong học kỳ đó.
+ ni – Số tín chỉ của học phần đó
+ n – Tổng số học phần một kỳ bạn cần học, một năm hoặc cho 4 năm học của mình.
Áp dụng công thức trên cho ra kết quả thì chỉ cần áp dụng vào thang điểm đổi ở trên thì sẽ biết mình thuộc khoảng bậc xếp hạng nào. Đây chính là mục tiêu để bạn phấn đấu đạt được. Với trường hợp điểm của bạn quá thấp thì sẽ có biện pháp cụ thể để bản thân cải thiện thành tích của mình.
3. Những lưu ý cho bạn về cách tính điểm trung bình tích lũy:
- Tính điểm trung bình tích lũy không được áp dụng với một số môn học như thể dục, giáo dục quốc phòng. Từng trường sẽ có chương trình đào tạo khác nhau, qua đó có thông báo cụ thể về môn học không được tính vào điểm trung bình tích lũy cho bạn, mà đây là môn điều kiện để bạn có thể ra trường.
- Một số trường áp dụng sang thang điểm 4 thì mới cần phải quy đổi còn nếu như điểm trung bình tích lũy tính theo thang điểm 10 thì bạn không cần phải quy đổi.
- Điểm trung bình chung tích lũy nếu được tính theo kỳ thì ngoài điểm thi lần một, lần hai và điểm cải thiện của bạn sẽ được tính vào điểm trung bình tích lũy của kỳ đó. Trường hợp bạn cải thiện môn học khác học kỳ thì sẽ không được tính điểm trung bình tích lũy môn học đó vào học kỳ đó.
- Điểm trung bình tích lũy chung tính theo năm sẽ gồm tổng toàn bộ số môn học cùng với số học phần bạn cần học cho năm học đó của bạn. Những môn bạn cần cải thiện nếu không phải là môn học của năm đó thì bạn cũng không được tính vào điểm trung bình tích lũy của năm đó.
- Những môn học khác kỳ hoặc của những kỳ trước bạn cải thiện vào kỳ này thì sẽ được tính điểm trung bình tích lũy vào kỳ này hoặc theo năm cũng vậy.
- Những môn có nhiều đầu điểm thì tạo điều kiện cho bạn lấy điểm cao nhất, còn các môn học ngoài chương trình đào tạo thì sẽ không được tính vào điểm trung bình tích lũy của bạn. Kết quả của điểm trung bình tích lũy sẽ được xét điều kiện thực tập, làm khóa luận tốt nghiệp, đồng thời trở thành điều kiện cần thiết giúp bạn được ra trường đúng hạn.
Bài viết trên đây giúp bạn tìm hiểu về điểm trung bình tích lũy và những lưu ý trong cách tính điểm hiện nay. Để có được kết quả tốt nhất thì bạn hãy chú ý trong cách tính và tránh bị sai sót nhé. Chúc bạn thành công!

Ngành Tổ chức và Quản lý Y tế là gì? Ra trường làm gì?
Q. Tân Bình: Số
Điện thoại: 0899 955 990 (Cô Nhung) | 0969 955 990 (Cô Huệ) | 0933519898 (Cô Yến) | 0961539898
Email: 