Đề thi thử tốt nghiệp THPT 2022 môn Toán trường THPT Trấn Biên Đồng Nai được Cao đẳng Y Khoa Phạm Ngọc Thạch tổng hợp giúp các em củng cố kiến thức, ôn tập và rèn luyện tốt nhất để chuẩn bị tốt cho kỳ thi sắp tới.
Đề thi thử tốt nghiệp THPT 2022 môn Toán Trường Trấn Biên Đồng Nai
Để giúp các sĩ tử có thể đạt điểm cao nhất ở môn Toán, Ban tuyển sinh trường Cao đẳng Y Khoa Phạm Ngọc Thạch sẽ tổng hợp các đề thi thử tốt nghiệp THPT quốc gia 2022 môn Toán giúp các bạn ôn luyện trước mùa thi.
Phần 1: Đề thi thử











Phần 2: Đáp án và lời giải chi tiết






















Một số đề thi thử tốt nghiệp thpt 2022 môn toán tham khảo thêm:
Đề thi thử tốt nghiệp THPT môn Toán Sở GD-ĐT Đắc Nông: Tại đây
Đề thi thử tốt nghiệp THPT môn Toán Trường THPT Thuận Thành: Tại đây
Đề thi thử tốt nghiệp THPT môn Toán trường THPT Lương Thế Vinh: Tại đây
Với tài liệu đề thi thử tốt nghiệp THPT môn Toán hi vọng sẽ giúp các bạn thí sinh có hành trang chuẩn bị tốt nhất trong kỳ thi sắp tới. Hãy chia sẻ đến bạn bè thông tin hữu ích để cùng nhau vượt qua kỳ thi sắp tới nhé.

Ngành Tổ chức và Quản lý Y tế là gì? Ra trường làm gì?
Q. Tân Bình: Số
Điện thoại: 0899 955 990 (Cô Nhung) | 0969 955 990 (Cô Huệ) | 0933519898 (Cô Yến) | 0961539898
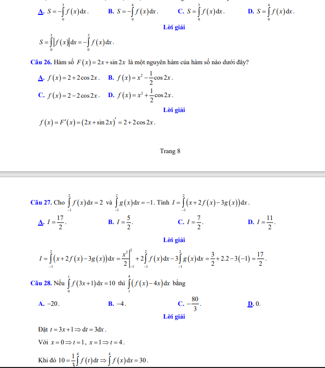
Email: 