Chuyển động thẳng biến đổi đều là gì? Cách viết phương trình chuyển động thẳng biến đổi đều như thế nào? Thông tin sẽ được chia sẻ chi tiết ở bài viết dưới đây, các bạn hãy tham khảo nhé.
Vận tốc tức thời, Vectơ vận tốc tức thời
Độ lớn của vận tốc tức thời
– Công thức tính vận tốc tức thời là độ lớn của vận tốc tức thời của xe tại M. Qua công thức này cho biết tại M thì xe chuyển động nhanh hay chậm.
- v: vận tốc
- s: quãng đường
- t: thời gian

– Một xe máy đang chạy trên đường thì tốc kế hay còn gọi là đồng hồ tốc kế hiển thị trên bề mặt xe chỉ độ lớn của vận tốc tức thời của xe.
Vectơ vận tốc tức thời
– Khái niệm vectơ vận tốc tức thời đặc trưng cho chuyển động nhanh, chậm và về phương, chiều.
– Vectơ vận tốc tức thời của một vật tại một điểm được gọi là một vectơ có gốc tại vật chuyển động, có hướng của chuyển động, độ tài tỷ lệ với độ lớn vận tốc tức thời theo một tỉ xích nào đó.
Chuyển động thẳng biến đổi đều là gì?
Chuyển động thẳng biến đổi là chuyển động có quỹ đạo là đường thẳng và có độ lớn của vận tốc tức thời luôn biến đổi. Trong đó phổ biến nhất là chuyển động thẳng biến đổi đều. Khi đó thì vận tốc tức thời có độ lớn tăng đều hoặc giảm đều theo thời gian.
Độ lớn của vận tốc tức thời chuyển động thẳng luôn tăng đều theo thời gian gọi là chuyển động thẳng nhanh dần đều.
Chuyển động thẳng nhưng có độ lớn của vận tốc tức thời giảm đều theo thời gian sẽ được gọi là loại chuyển động thẳng chậm dần đều.
Vận tốc của vật tại thời điểm hay vị trí nào đó thì có thể hiểu là vận tốc tức thời.
Các loại chuyển động biến đổi đều
Chuyển động thẳng nhanh dần đều
Gia tốc trong chuyển động thẳng nhanh dần đều
a) Khái niệm gia tốc
– Cho biết hệ số tỉ lệ a là một đại lượng không đổi, được gọi là gia tốc của chuyển động. Cách tính gia tốc a như sau:
– Gia tốc của chuyển động là một đại lượng xác định bằng thương số của độ biến thiên vận tốc Δv và khoảng thời gian vận tốc biến thiên Δt.
b) Vectơ gia tốc
– Vận tốc là đại lượng vectơ bởi vậy mà gia tốc cũng là một đại lượng vectơ:
– Một vật có chuyển động thẳng nhanh dần đều thì vectơ gia tốc có gốc tại vật cùng chuyển động, đồng thời có chiều và phương trùng với phương và chiều của vectơ vận tốc. Và có độ dài tỉ lệ với độ lớn của gia tốc theo một tỉ xích nào đó.
Vận tốc của chuyển động thẳng nhanh dần đều
a) Công thức tính vận tốc của chuyển động thẳng nhanh dần đều
Với công thức tính vận tốc ở trên cho biết vận tốc của vật tại các thời điểm khác nhau.
b) Đồ thị vận tốc và thời gian
– Đồ thị vận tốc và thời gian sẽ biểu diễn sự biến thiên của vận tốc tức thời theo thời gian sẽ được gọi là đồ thị vận tốc – thời gian. Đây là dạng đồ thị ứng với công thức v = vo+ at ( v là hàm số của thời gian). Đồ thị có dạng một đoạn thẳng như sau:
c) Công thức tính quãng đường của chuyển động thẳng nhanh dần đều
– Tính tốc độ trung bình của chuyển động với công thức:
– Công thức tính quãng đường với chuyển động thẳng nhanh dần đều như sau:
– Qua công thức trên cho biết quãng đường đi được với chuyển động thẳng nhanh dần đều là một hàm số bậc hai của thời gian.
d) Công thức liên hệ giữa gia tốc, vận tốc và quãng đường đi được của chuyển động thẳng nhanh dần đều
– Công thức liên hệ:
e) Phương trình chuyển động của chuyển động thẳng nhanh dần đều
– Phương trình chuyển động:
Chuyển động thẳng chậm dần đều
Gia tốc của chuyển động thẳng chậm dần đều
- Công thức tính gia tốc:
- Vectơ gia tốc:
– Chuyển động thẳng chậm dần đều sẽ có vectơ gia tốc ngược chiều với vectơ vận tốc.
Vận tốc của chuyển động thẳng chậm dần đều
- Công thức tính vận tốc: v = v0 + at
- Đồ thị vận tốc – thời gian có dạng như hình sau:
Công thức tính quãng đường đi được của chuyển động thẳng chậm dần đều
- Công thức tính quãng đường đi được:
- Phương trình chuyển động của chuyển động thẳng chậm dần đều
Các dạng bài tập áp dụng
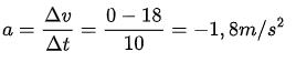
Câu 1: Một đoàn tàu chạy với vận tốc 54km/h, sau 10s thì có vận tốc giảm còn 18km/h và được chuyển động đều trong 30s tiếp theo. Sau hết thì đoàn tàu sẽ chuyển động chậm dần đều trong vòng 10s thì ngừng hẳn. Cách tính gia tốc của mỗi đoạn?
Bài giải:
– 10s đầu tiên đoàn tàu đi được đoạn đường: 
– Đoạn đường trong 30s đoàn tàu chuyển động đều a=0
– Sau đó xe chuyển động chậm dần đều rồi dừng hẳn:
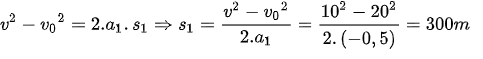
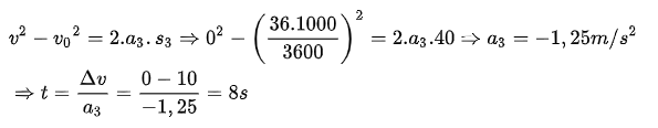
Câu 2: Đoàn tàu chuyển động với vận tốc là 72km/h được 20s thì giảm vận tốc 36km/h chuyển động đều trong thời gian 0,5phút. Sau đó thì đoàn tàu chuyển động chậm dần và đi được 40m thì dừng lại. Tính gia tốc mỗi đoạn đường và vận tốc trung bình trên toàn bộ quãng đường đó?
Bài giải:
– Quãng đường 20s chất điểm chuyển động chậm dần đều: 
Ta có:

– Trên đoạn đường đoàn thuyền di chuyển trong 30s chuyển động thẳng đều nên gia tốc bằng 0: ![]()
– Quãng đường đường cuối cùng chất điểm chuyển động chậm dần đều ta có:

– Tính vận tốc trung bình trên toàn bộ quãng đường đó là: 
Bài viết trên đây giúp bạn tìm hiểu về chuyển động thẳng dần đều và công thức tính gia tốc, vận tốc…Đừng quên theo dõi bài viết tiếp theo để cập nhật kiến thức liên quan nhé. Chúc bạn thành công

Ngành Tổ chức và Quản lý Y tế là gì? Ra trường làm gì?
Q. Tân Bình: Số
Điện thoại: 0899 955 990 (Cô Nhung) | 0969 955 990 (Cô Huệ) | 0933519898 (Cô Yến) | 0961539898
Email: 