Tín chỉ là khái niệm không hề xa lạ với những bạn sinh viên khi bước vào các trường Đại học. Tuy nhiên nhiều bạn đặt câu hỏi thắc mắc “Tín chỉ là gì? Những quy định chung khi học tín chỉ như thế nào? Cùng với những thắc mắc liên quan đến học tín chỉ sẽ được giải đáp trong chuyên mục dưới đây nhé.
1. Tín chỉ là gì?
Tín chỉ là đơn vị dùng trong khung chương trình giảng dạy tại các bậc đại học, cao đẳng mà hiện nay có nhiều trường áp dụng. Dựa trên hệ thống ECTS – khung tiêu chuẩn của Châu Âu, xây dựng hệ thống tính toán theo chương trình học của sinh viên bằng khối lượng kiến thức và sinh viên học hỏi theo từng đơn vị tín chỉ.

Với mỗi chương trình giảng dạy thì một tín chỉ được quy định bằng:
– Lý thuyết: 15 tiết học.
– Thực hành: 30 đến 45 tiết học. Làm thí nghiệm, thảo luận cũng được tính từ 30 đến 45 tiết học.
– Thực tập: 45 đến 90 giờ tại các cơ sở, công ty…
– Làm tiểu luận, khóa luận hay tham gia làm đồ án (tốt nghiệp): 45 đến 60 giờ làm.
Dựa vào cách tính ở trên thì các bạn dễ dàng nắm được số giờ, tiết học với từng loại học phần như thực hành, lý thuyết, tiểu luận, đồ án…Với hình thức đào tạo theo tín chỉ, mang lại nhiều ưu điểm cho sinh viên theo học hiện nay. Qua đó giúp cho sinh viên có thể chủ động thực hiện chương trình học của mình để sắp xếp tài chính, thời gian và thời gian giúp hoàn thành chương trình học tập một cách tốt nhất.
2. Học theo tín chỉ là gì? Những quy định mới về đăng ký học tín chỉ
2.1. Học theo tín chỉ là gì?
Theo ban tư vấn tuyển sinh Cao đẳng Y Khoa Phạm Ngọc Thạch, học theo tín chỉ hiện nay được áp dụng phổ biến tại các trường Đại học, và là hình thức rất mới mẻ. Hình thức này được đào tạo không dựa vào năm học mà dựa vào từng học kỳ. Theo đó, mỗi năm học sẽ được chia thành 2-3 học kỳ gồm hai học kỳ cơ bản và học hè.
Mỗi ngành học gồm chương trình đào tạo theo tín chỉ cũng không tính theo năm mà được tính bằng sự tích luỹ kiến thức trong suốt thời gian học tập của sinh viên. Các bạn sinh viên sẽ chỉ cần học tích lũy đủ số tín chỉ theo khung chương trình Nhà trường quy định với từng ngành thì hoàn toàn có thể được cấp bằng tốt nghiệp.
Hình thức đào tạo theo tín chỉ, lấy sinh viên làm trung tâm và có thể đáp ứng được mọi nhu cầu cần thiết trong xã hội, qua đó đào tạo nguồn nhân lực đáp ứng nhu cầu cho thị trường việc làm hiện nay.
2.2. Những quy định mới về đăng ký học tín chỉ
Học tín chỉ Cao đẳng cần tuân thủ theo quy định của từng trường cũng như đăng ký học tín chỉ hiện nay không có quá nhiều khó khăn trong thời gian học tập:
– Tại mỗi kỳ học sinh, sinh viên chỉ được đăng ký tối đa là 25 tín chỉ, tối thiểu là 14. Số tín chỉ đăng ký tối thiểu ở trên sẽ không áp dụng cho học kỳ cuối.
– Với mỗi kỳ học hè, thì số tín chỉ tối đa được đăng ký là 14.
– Các bạn sinh viên có học lực bình thường (khi xếp hạng) thì chỉ được đăng ký 14 tín chỉ/mỗi học kỳ.
– Các bạn sinh viên xếp loại học lực yếu trong thời gian đăng ký thì sẽ được đăng ký 10 tín chỉ/mỗi học kỳ.
– Bên cạnh đó, không áp dụng khối lượng học tập tối thiểu với những sinh viên học tại những học kỳ phụ.
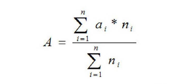
Công thức tính điểm tín chỉ như thế nào?

Dựa vào công thức trên thì bạn có thể hiểu được ý nghĩa của nó, dưới đây là những yếu tố cần phải làm rõ:
+ A – điểm trung bình tích lũy của bạn, được tính theo kỳ, theo năm hoặc theo cả 4 năm đều được tính theo công thức nay.
+ ai – Điểm số của những học phần thứ i của bạn trong học kỳ đó.
+ ni – Số tín chỉ của học phần đó
+ n – Tổng số học phần một kỳ bạn cần học, một năm hoặc cho 4 năm học của mình.
Áp dụng công thức trên cho ra kết quả thì chỉ cần áp dụng vào thang điểm đổi ở trên thì sẽ biết mình thuộc khoảng bậc xếp hạng nào. Đây chính là mục tiêu để bạn phấn đấu đạt được. Với trường hợp điểm của bạn quá thấp thì sẽ có biện pháp cụ thể để bản thân cải thiện thành tích của mình.
3. Nêu ưu, nhược điểm của hình thức học tín chỉ hiện nay
3.1. Ưu điểm
– Phương thức đào tạo theo tín chỉ được xây dựng dựa vào tiêu chí lấy người học làm trung tâm. Với phương pháp này được áp dụng nhiều trong các trường Cao đẳng, Đại học nhằm phát huy được tính chủ đạo, sáng tạo với người học.
– Học tín chỉ học phần có tác dụng tăng độ mềm dẻo, và sự linh hoạt của người học. Chương trình tín chỉ thiết kế khung chương trình bao gồm hệ thống các môn học đại cương với những môn học cận chuyên ngành.

– Học theo hình thức tín chỉ sẽ ghi nhận kết quả về sự tích lũy và kiến thức bên ngoài trường lớp nhằm giúp hoàn thành văn bằng học.
– Phương thức này rất linh hoạt, mềm dẻo về thời gian linh động. Điều đó sẽ giúp cho thời gian ra trường của sinh viên được linh động hơn, không phải ai cũng giống nhau. Mỗi bạn sinh viên chỉ cần tích lũy đủ số lượng tín chỉ theo quy định thì đủ tiêu chuẩn để ra trường.
– Phương thức học trên tạo ra được sự liên thông giữa các cấp đào tạo, hoặc với những ngành khác nhau.
Phương thức đào tạo theo tín chỉ nhằm khuyến khích sự di chuyển của sinh viên, mở rộng sự lựa chọn của mỗi người học. Do vậy, kết quả học tập của sinh viên cũng được tính theo từng học phần, chi phí thấp học so với đào tạo học niên chế.
3.2. Nhược điểm
Ngoài những ưu điểm không thể phủ nhận của hình thức học tín chỉ thì còn tồn tại những nhược điểm dưới đây:
– Cắt vụn kiến thức: Thường mỗi môn học sẽ được quy định với số tín chỉ cụ thể, có thể là 3 hoặc 4 tín chỉ khác nhau. Những môn học có số lượng tín chỉ theo quy định có thể hạn chế, do vậy khó có thể truyền tải hết nội dung môn học này. Bởi vậy, các bạn sinh viên hãy nâng cao khả năng tự học của bản thân để có kết quả tốt nhất.
– Khó tạo sự liên kết: Chương trình được thiết kế theo khung môn học với số tín chỉ nhất định mà không phải là một chương trình liền mạch. Mỗi bạn sinh viên đăng ký học tập theo học phần module khác nhau tạo ra sự liên kết liền mạch giữa các môn học có hạn chế.
Bởi vậy để tạo sự liên kết giữa sinh viên, những môn học thì các trường sẽ tổ chức khóa học nhằm bổ sung và những hoạt động đoàn thể…
Bài viết trên đây giúp bạn tìm hiểu về tín chỉ là gì? Và những kiến thức liên quan vừa được chia sẻ trên đây. Đừng quên theo dõi bài viết tiếp theo để cập nhật kiến thức hữu ích nhé. Chúc bạn thành công

Ngành Tổ chức và Quản lý Y tế là gì? Ra trường làm gì?
Q. Tân Bình: Số
Điện thoại: 0899 955 990 (Cô Nhung) | 0969 955 990 (Cô Huệ) | 0933519898 (Cô Yến) | 0961539898
Email: 