Chương trình đại số trường phổ thông thì các bạn chỉ làm quen với loại phương trình bậc bốn đặc biệt là phương trình trùng phương. Tuy nhiên, kiến thức thi đại học thì chủ yếu đưa về phương trình bậc 4. Dưới đây, Cao đẳng Y Khoa Phạm Ngọc Thạch chia sẻ các cách giải bất phương trình bậc 4 giới thiệu đến bạn đọc nhé.
1. 4 phương pháp giải bất phương trình bậc 4
Dưới đây là cách giải phương trình bậc bốn dạng (x^4)+a(x^3)+b(x^2)+cx+d=0 trong đó a,b,c,d là các số thực khác không:
- Biến đổi hợp lí và sáng tạo trong các trường hợp
- Phân tích đa thức thành nhân tử bằng phương pháp hệ số bất định
- Công thức nghiệm tổng quát của phương trình bậc 4
- Phương pháp đồ thị.
Có thể bạn muốn xem thêm về cách giải phương trình bậc 2 và những bài tập áp dụng
2. Hướng dẫn giải bất phương trình bậc 4 vận dụng chi tiết
2.1. Biến đổi hợp lí và sáng tạo trong các trường hợp cụ thể.
Ví dụ 1.
Giải phương trình (x^2−a)2−4×2+3x+2a=0 (1)
Giải:
Biến đổi phương trình (1) thành
x4−2ax2+a2−4×2+3x+2a=0
hay x4−(2a+4)x2+3x+a2+2a=0
‘>x4−(2a+4)x2+3x+a2+2a=0 (2)
Phương trình (2) được xem là phương trình bậc 4 với x mà bạn không tìm được cách giải.
Tuy nhiên bạn có thể có thể viết phương trình (1) dưới dạng sau
a2−2(x2−1)a+x4−4×2+3x=0 (3)
Và xem phương trình (3) bậc 2 với a.
Với cách tính trên thì bạn có thể tìm được a theo x:

Ví dụ 2.
Giải phương trình: x4−x3−5×2+4x+4=0 (1)
Giải:
Phương trình (1) đuợc viết dưới dạng:
−x3−x2−(4×2−4x−4)=0
x2(x2−x−1)−4(x2−x−1)=0
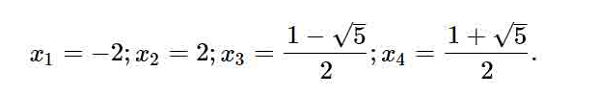
(x2−4)(x2−x−1)=0
Vậy phương trình (1) có 4 nghiệm là

Ví dụ 3.
Giải phương trình: 32×4−48×3−10×2+21x+5=0 (1)
Giải:
Ta viết phương trình (1) dưới dạng:
2(16×4−24×3+9×2)−7(4×2−3x)+5=0
Tiếp theo bạn hãy đặt: y=4×2−3x thì phương trình (1) sẽ được biến đổi thành
2y2−7y+5=0
Từ đó y1=1 và y2=5/2
Tiếp theo, bạn hãy giải phương trình bậc hai đối với x dưới đây (sau khi thay y1=1 và y2=5/2 vào y=4×2−3x ):
4×2−3x−1=0
Và 8×2−6x−5=0
Qua đó tìm được các nghiệm của phương trình (1).
Ví dụ 4.
Giải phương trình: 2×4+3×3−16×2+3x+2=0 (1)
Giải:
Phương trình bậc 4 (và là phương trình hồi quy khi e/a=(d/b)2)
Qua đó thì phương trình sẽ được giải như sau:
Cả hai vế của phương trình chia cho x2 (khác không) thì phương trình (1) tương đuơng với:

Theo đó, những ví dụ 2,3 và 4 giải được phương trình bậc 4 qua biến đổi sáng tạo vế trái của phương trình để đưa về các phương trình quen thuộc và có cách giải dễ dàng.
2. Phân tích đa thức thành nhân tử bằng phương pháp hệ số bất định.
Ví dụ 5.
Giải phương trình: x4+4×3−10×2+37x−14=0 (1)
Giải:
Trước tiên bạn phân tích vế trái thành hai nhân tử bậc hai x2+px+q và x2+rx+s , trong đó gồm:
p,q,r,s là những hệ số nguyên chưa xác định.
Ta có:
x4+4×3−10×2+37x−14=(x2+px+q)(x2+rx+s) (2)
Các hệ số của số hạng đồng nhất cùng bậc hai vế đồng nhất thức ta có hệ phương trình sau:

Lưu ý:
Nhiều trường hợp không áp dụng được phương pháp trên với khi phân tích trên không được như mong muốn chẳng hạn khi hệ trên không có nghiệm nguyên.
3. Công thức nghiệm tổng quát của phương trình bậc 4
Trước tiên, bạn hãy phân tích đa thức x4+ax3+bx2+cx+d thành hai nhân tử bậc hai
Đặt ẩn phụ là h thì bạn hãy biến đổi như sau:


Ví dụ 6.
Giải phương trình: x4−x3−7×2+x+6=0 (3)
Giải:
Nhờ vào công thức (3) ta xác định được h:

4. Phương pháp đồ thị.
Phương pháp:
Phương pháp giải phương trình bậc bốn
x4+ax3+bx2+cx+d=0 (1)
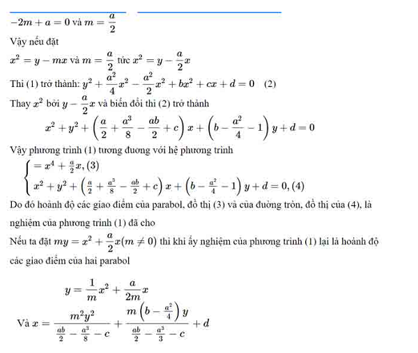
bằng đồ thị, trước tiên bạn hãy đặt x2=y−mx
Phương trình (1) trở thành: y2−2mxy+m2x2+axy−axm2+bx2+cx+d=0
Nếu muốn khử được các số hạng có xy trong phương trình này thì bạn phải có:

Bài viết trên đây giúp bạn tổng hợp thông tin về cách giải bất phương trình bậc 4 và các bài tập vận dụng. Đừng quên theo dõi bài viết tiếp theo để cập nhật kiến thức liên quan khác nhé. Chúc bạn thành công!

Ngành Tổ chức và Quản lý Y tế là gì? Ra trường làm gì?
Q. Tân Bình: Số
Điện thoại: 0899 955 990 (Cô Nhung) | 0969 955 990 (Cô Huệ) | 0933519898 (Cô Yến) | 0961539898
Email: 